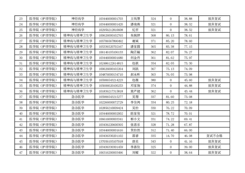
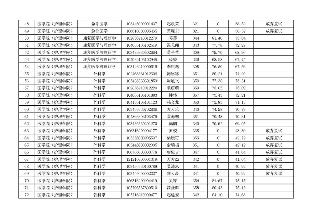
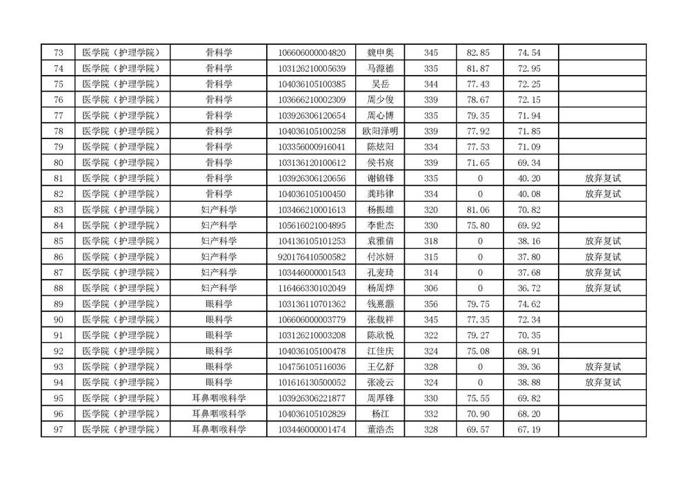
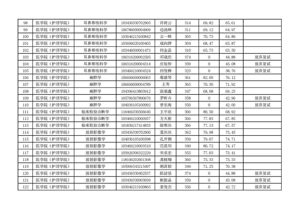
根据《湖州师范大学医学院(护理学院)2026年硕士研究生招生复试录取工作细则》的要求,对调剂志愿报考我院临床医学专业考生进行复试并计算总成绩,总成绩=初试成绩(换算成百分制)×60%+复试成绩(换算成百分制)×40%计算(复试成绩、总成绩均保留两位小数),复试合格者,按照最终加权总成绩排序,从高到低依次录取,总成绩相同时,依次按初试成绩、复试成绩,从高到低依次录取。考生的总成绩、初试成绩、复试成绩均相同时,按复试中综合能力考核成绩由高到低依次录取。复试成绩不及格(换算成百分制<60分)的考生不予拟录取或取消录取资格。
现将复试总成绩公示如下:






